Drunken driving claims 37 lives daily in the U.S. with teen and young adult drivers disproportionately involved. Niyousha Hosseinichimeh in...
Giving cash to poor people could result in fewer emergency department visits, a new study suggests. The study published Monday...
Folks need to have their meals at regular intervals or risk slipping into anxiety or depression, a new study of...
Among the many challenges that the COVID-19 pandemic presented, disruptions in health care were among the most impactful. The pandemic...
Western diets pose a greater risk of inflammatory bowel disease (IBD) and colorectal cancer, according to a milestone review of...
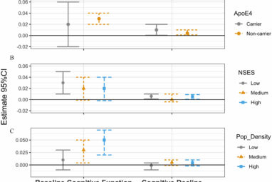
Research has shown that about 40% of dementia could be prevented or delayed worldwide by addressing modifiable risk factors associated...
Everyone knows that air pollution is bad for health, but how bad depends a lot on who you are. People...
Everybody poops, but not every day. New research by the Institute for Systems Biology (ISB) suggests bowel movement frequency is...
Many pregnant people have chronic medical conditions, and although they are usually closely monitored during pregnancy, they often face barriers...
Findings of a small comparative study published in the open access journal BMJ Open Sport & Exercise Medicine suggest resistance...
Commuters who cycle or walk to and from work or study may have lower risks of mental and physical ill...
A new University of Georgia study reveals that 1 in 5 U.S. farmers report binge drinking when they experience high...













