A new study, published in the Journal of Experimental Criminology, examined the development of offense-related expertise in a sample of...
Young citizens across the globe vote at relatively low rates, which contributes to political parties’ de-prioritizing issues that matter to...
One country produces about 12% of the grains (wheat, barley, maize and sunflower) traded globally. Developing countries in Africa and...
Imagine moving from state to state while growing up in the U.S., transferring between high schools, and eventually attending college...
In a new study, researchers and members of the Muwekma Ohlone Tribe of the San Francisco Bay Area are the...
New research suggests humans lived in South America at the same time as now extinct giant sloths, bolstering evidence that...
The Kushan Empire in Central Asia was one of the most influential states of the ancient world. A research team...
Portable chemical imaging technology can reveal hidden details in ancient Egyptian paintings, according to a study published July 12, 2023...
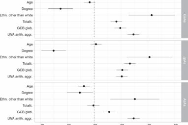
People who believe in conspiracy theories are more likely to have antisemitic opinions than non-believers, new research shows. Dr. Daniel...
A team of specialists and students led by University of North Carolina at Chapel Hill professor Jodi Magness has uncovered...
The highest status individual in ancient Copper Age society in Iberia, was a woman and not a man as previously...
A new study identifies how to calculate the economic value of temporarily reducing carbon emissions through carbon offsetting. The social...













