A new study has found evidence of cheesemaking, using milk from multiple animals, in Late Neolithic Poland. The research suggests...
For most American workers who commute, the trip to and from the office takes nearly one full hour a day—26...
March Madness is upon us and with it, the tradition of making tournament brackets. Where most of us see a...
“One side can start the polarization and keep it going forever, but it takes two sides to stop it. That’s...
Muslim judges are more likely to give lenient decisions while fasting during Ramadan, a study said Monday, contrasting to previous...
New research from Washington University in St. Louis provides evidence that modern gender norms and biases in Europe have deep...
Scientists’ careers are defined by their contributions to the peer-reviewed literature. Yet, a study just out in Nature Ecology &...
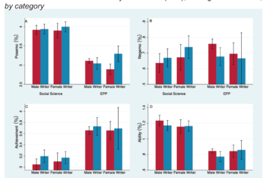
A researcher at the University of the Basque Country (UPV/EHU) has explored how the gender gap has evolved in two...
Researchers at the California Academy of Sciences, along with a collaborator at Denison University, have developed an innovative new model...
Both conservative and liberal Americans share fake news because they don’t want to be ostracized from their social circles, according...
Avoiding pornography is vital to developing a healthy and long-term romantic relationship, says a new study from BYU. The research,...
As climate change and population growth make water scarcity increasingly common, a much larger share of the global population will...













