Since the Russian attack on Ukraine almost a year ago, there is no shortage of pessimistic forecasts for the climate...
The rare and unusual life of an anchoress, a woman who devoted her life to prayer while living in seclusion,...
In the past two decades, many state governments have enacted voter identification requirements for constituents voting in their state, requiring...
In a cave just south of Lisbon, archaeological deposits conceal a Paleolithic dinner menu. As well as stone tools and...
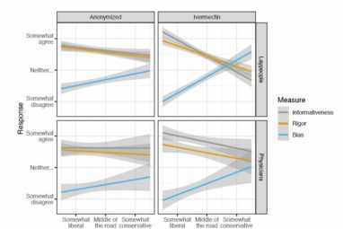
Political ideology shapes attitudes about COVID-19 treatments not just for the general U.S. population but also for critical care physicians,...
An interdisciplinary team of scientists at Nanyang Technological University, Singapore (NTU, Singapore) has found that rapid sea-level rise drove early...
Tyre Nichols, a 29-year-old Black man who died after a confrontation with police during a traffic stop earlier this month...
New research has revealed that the process of ‘peopling’ the entire continent of Sahul—the combined mega continent that joined Australia...
How long people live is less predictable and life expectancy for young people can be as much as 14 years...
A team of researchers led by a Texas A&M University professor has identified the Manis bone projectile point as the...
More than 200 years after Napoleon met defeat at Waterloo, the bones of soldiers killed on that famous battlefield continue...
Countries hosting the Olympic Games do not tend win more medals when socioeconomic factors are controlled for, reports a study...













