What good is a powerful computer if you can’t read its output? Or readily reprogram it to do different jobs?...
Bye-bye lens, hello metasurface. So-called metasurfaces can help to make optical systems thinner in the future, while at the same...
Twistronics isn’t a new dance move, exercise equipment, or new music fad. No, it’s much cooler than any of that....
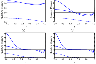
A team led by Guo Guangcan from the University of Science and Technology of China (USTC) of the Chinese Academy...
Loughborough University scientists are the first to demonstrate that a terahertz wave camera can capture 3D images of microscopic items...
Researchers at MPQ in Garching, together with a team from TU Munich, have excited erbium atoms embedded in crystalline silicon...
Exploiting ultra-confined and highly directional polaritons at the nanoscale is essential for developing integrated nanophotonic devices, circuits and chips. High-symmetry...
A new publication by the PHENIX Collaboration at the Relativistic Heavy Ion Collider (RHIC) provides definitive evidence that gluon “spins”...
Last year, scientists drove up Mauna Loa volcano on Hawai’i, aimed a laser at a reflector positioned on Haleakala peak...
Fifteen years ago, an alternative technique to look for the elusive Majorana particles was conceived theoretically. But no one carried...
Crystals that can freely conduct electrons, but not heat, hold great potential for numerous applications. A team of researchers has...
Can dark matter interact with photons and influence atomic structure? A case for optical atomic clocks: Two different types of...













