Scientists have made a pivotal new breakthrough in the quest to control light to evolve the next generation of quantum...
When will 6G be a reality? The race to realize sixth generation (6G) wireless communication systems requires the development of...
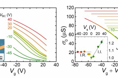
Optics researchers at The University of Texas at Dallas have shown for the first time that a new method for...
Researchers from the University of Nebraska-Lincoln and the University of California, Berkeley, have developed a new photonic device that could...
Imagine a road with two lanes in each direction. One lane is for slow cars, and the other is for...
If mechanoluminescent materials are subjected to external mechanical stress, they emit visible or invisible light. Such excitation can occur due...
Scientists from the University of Tsukuba demonstrated how ultrafast spectroscopy can be used to improve the temporal resolution of quantum...
Erbium-doped fiber amplifiers (EDFAs) are devices that can provide gain to the optical signal power in optical fibers. They are...
New scientific results confirm an anomaly seen in previous experiments, which may point to an as-yet-unconfirmed new elementary particle, the...
A quantum simulator at Rice University is giving physicists a clear look at spin-charge separation, the quantum world’s version of...
Qubits are a basic building block for quantum computers, but they’re also notoriously fragile—tricky to observe without erasing their information...
In a paper published today in Science Advances, researchers at the University of Oxford have developed a method using the...













