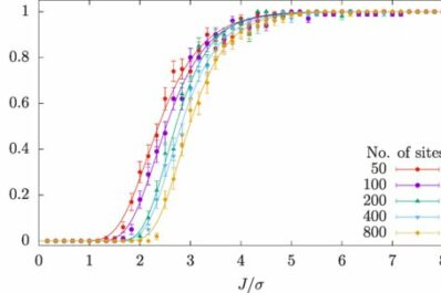
Physicists from Trinity have unlocked the secret that explains how large groups of individual “oscillators”—from flashing fireflies to cheering crowds,...
Fluorescence light microscopy has the unique ability to observe cellular processes over a scale that bridges four orders of magnitude....
Nearly a century after Italian physicist Ettore Majorana laid the groundwork for the discovery that electrons could be divided into...
Laser beams can do more than just heat things up; they can cool them down too. That is nothing new...
Despite astrophysical evidence for the existence of dark matter, direct detection of its interaction with particles and fields of the...
Black soldier fly larvae devour food waste and other organic matter and are made of 60% protein, making them an...
Researchers have shown that newly designed pixel-scale metasurface lenses—flat surfaces that use nanostructures to manipulate light—can be used to make...
Inspired by the “Game of Life” SUTD researchers are applying cellular automation to efficiently model phase change materials with multiple...
As the world searches for practical ways to decarbonize our activities and mitigate associated climate change, approaches to alternative energy...
The next generation of superconducting magnets has the potential to revolutionize fields such as energy storage, particle accelerators and medicine....
A team modeled plasma turbulence on the nation’s fastest supercomputer to better understand plasma behavior The same process that fuels...
The technologies behind one of the biggest scientific breakthroughs of the century—the detection of gravitational waves—are now being used in...













