Most Americans don’t know about medical aid in dying options

Most Americans don't know about medical aid in dying options

Most people in the United States don’t know that medical aid in dying, a legal practice that allows terminally ill patients to obtain a prescription for medication to end their life, is legal in certain states, according to Rutgers researchers.

Their study, published in JAMA Network Open, surveyed 3,277 adults from all 50 states and Washington, D.C., to evaluate their knowledge of the legality of the practice as well as their interest in potentially using it should they receive a terminal diagnosis in the future.

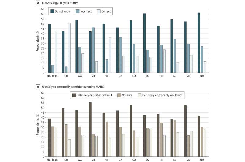
Medical aid in dying (MAID for short) is legal in 10 states—including New Jersey and Washington, D.C.—covering one-fifth of the U.S. population. Despite increasing legal availability throughout the nation, Rutgers-led research found that 51.3% of survey respondents didn’t know if MAID was legal in the U.S., and 50.8% were unsure about its legality in their own state.

“Survey respondents’ lack of awareness was particularly surprising in states where MAID is legal, which lets us know that those with access to MAID may not be aware of their end of life health care options,” said Elissa Kozlov, an assistant professor in the Department of Health Behavior, Society and Policy at the Rutgers School of Public Health.

“For example, MAID is legal in New Jersey, but only 11% of survey respondents from the Garden State were able to correctly identify that MAID is legal in their state.”

The researchers distributed the survey to individuals both in states with and without legal MAID, finding that 44% of people surveyed expressed interest in potentially using MAID in the future if they were diagnosed with a terminal illness.

Most americans don't know about medical aid in dying options


Percentage of respondents correctly indicating whether medical aid in dying (MAID) is legal in their state and whether they would personally consider using MAID if they received a diagnosis of a terminal illness. © JAMA Network Open (2025). DOI: 10.1001/jamanetworkopen.2024.61495

In New Jersey, for example, to be eligible for MAID, an individual would have to be over 18, have the capacity to make medical decisions, have a prognosis of less than six months to live, and be physically able to self-administer the medication.

The research underscores the importance of equity in end-of-life care.

“While historical data suggests that most patients who use end-of-life care are white and have some college education, our research found that interest in MAID spans diverse demographic groups,” said Kozlov, who is the study’s lead author.

Among survey respondents, 43.2% of Asian participants, 34% of Black participants and 41.9% of Hispanic participants reported they would consider MAID under certain conditions.

However, “systemic barriers—including financial constraints, lack of insurance coverage, difficulties accessing health care and the siloed nature of health care delivery—may limit MAID’s access for historically underrepresented populations,” said Paul Duberstein, chair of the Department of Health Behavior, Society and Policy, and senior author of the study.

The researchers said the study’s findings highlight the need for public education, policy initiatives and patient-clinician discussions to ensure equitable access to patient-centered end-of-life options and informed decision-making.

The researchers said as more states consider legalizing MAID, the study’s findings may be helpful to policymakers, advocates, and health care professionals who must work together to create strategies and support informed decision-making, reducing barriers to accessing end-of-life care.

More information:
Elissa Kozlov et al, Knowledge of and Preferences for Medical Aid in Dying, JAMA Network Open (2025). DOI: 10.1001/jamanetworkopen.2024.61495

Provided by
Rutgers University

Citation:
Most Americans don’t know about medical aid in dying options (2025, March 11)

Subscribe
Don't miss the best news ! Subscribe to our free newsletter :