Younger adults who experience frailty face a higher risk of death and emergency hospital admission, according to new University of Dundee research published in The Lancet Healthy Longevity. The study, led by Dr. Daniel Morales from the University’s School of Medicine, explored whether the electronic frailty index (eFI), which is already used for older adults, could also identify vulnerable younger people who might benefit from early support.
While most people think of frailty as a weakness that comes with old age, its medical definition refers to a reduced ability of the body to cope with illness or stress, caused by the accumulation of health problems. Frailty makes people more vulnerable to sudden declines in health, hospitalization, and even early death.
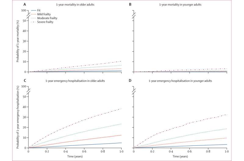
The eFI attributes scores to patients from “fit” to “severely frail” based on health deficits such as chronic conditions, symptoms, or disabilities. Until now, it wasn’t clear whether such tools could be applied to younger adults, but the Dundee research shows that younger adults identified as frail are also at much higher risk of death or emergency hospitalization.
This suggests that frailty is relevant across the adult lifespan, not just in older age. Furthermore, the findings point to interventions that could potentially improve outcomes for patients, according to Dr. Morales.
“Our findings suggest that frailty is not confined to older age and that younger adults with frailty may face especially high risks of poor outcomes,” he said. “In the long term, using the eFI to identify at-risk younger adults could help clinicians intervene earlier—by adjusting medications, offering rehabilitation, or providing targeted support—to prevent avoidable hospital admissions and deaths.
“Patients could benefit from care that is more personalized to their health needs, while health services could reduce the costs and pressures of unplanned hospital use. Before these benefits can be achieved, more research is needed to understand exactly what drives frailty in younger adults, and how best to support them without stigma.
“If successful, this approach could shift frailty care from a late-life focus to a life-course perspective, ultimately improving outcomes for patients and easing burdens on health care systems.”
Survival curves by eFI category for 1-year mortality and emergency hospitalization in younger adults (18–64 years) and older adults (65–95 years). © The Lancet Healthy Longevity (2025). DOI: 10.1016/j.lanhl.2025.100752
The Dundee researchers, in conjunction with colleagues from the Universities of Edinburgh and Glasgow, looked at health records from nearly 1 million people in England to test whether the electronic frailty index could also be applied to adults aged 18–64.
They found that, while frailty is less common in younger adults, those who are classified as frail face high risks of death and emergency hospitalization in the same way that older adults with the same frailty score do.
Previous research on frailty tools have focused almost exclusively on older people, despite evidence that younger adults with multiple health problems may also be frail.
Understanding this was important because no validated population-level frailty tools currently exist for younger people. If the eFI can reliably predict risk in younger adults, it can provide clinicians with a practical way to identify vulnerable individuals earlier in life and intervene before serious health problems develop.
More information:
Daniel R Morales et al, Applicability of the electronic frailty index in younger and older adults in England: a population-based cohort study, The Lancet Healthy Longevity (2025). DOI: 10.1016/j.lanhl.2025.100752
Provided by
University of Dundee
Citation:
Younger adults with frailty face higher risk of death and emergency hospital admission, finds study (2025, August 26)


