A new study has revealed that the displacement of skilled workers by technology began nearly two decades ago—well before the recent breakthroughs in artificial intelligence that have sparked widespread concern over jobs becoming automated in the future.
Published in the Socio-Economic Review, the research shows that leading sectors in the so-called “knowledge economy”—including finance, tech, and professional services—have been experiencing a steady decline in the share of income going to wages since the early 2000s. This trend suggests that automation of skilled roles began far earlier than previously thought.
Dr. Nick O’Donovan, Senior Lecturer in Political Economy and Public Policy at Keele University Business School and the author of the study, said, “The knowledge-intensive services sector has become increasingly capital-intensive over this period, as leading firms invest heavily in digital infrastructure, proprietary platforms and intellectual property.
“These changes coincide with the rise of cloud computing and the growing dominance of digital platforms, which likely contributed to the automation of highly skilled tasks long before generative AI entered the mainstream. As firms adopt even more advanced AI tools, these trends are poised to accelerate.”
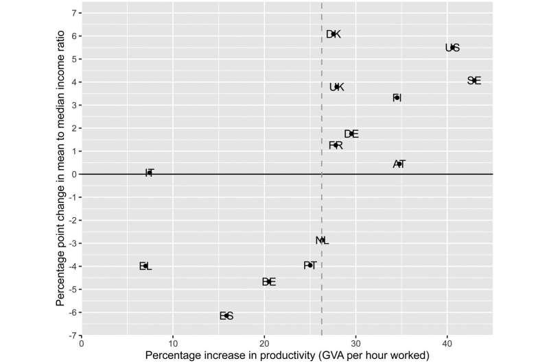
Productivity and income inequality changes from 1995 to 2019 (changes in three-year averages for 1995–97 to 2017–19; dotted vertical line represents mean productivity growth). © Socio-Economic Review (2025). DOI: 10.1093/ser/mwaf052
The study warns that these developments challenge the assumption that education and upskilling alone can protect workers in the digital era. The consequences, according to Dr. O’Donovan, are likely to reshape employment patterns, widen income inequality, and pose risks to social cohesion.
The study calls on policymakers to rethink how economies respond to automation—not only through traditional labor market policies but also through bold reforms aimed at regulating AI, redistributing the gains of technological progress, and strengthening household resilience.
More information:
Nick O’Donovan, Prosperity and inequality in mature knowledge economies, Socio-Economic Review (2025). DOI: 10.1093/ser/mwaf052
Citation:
Technology-driven job displacement began long before the rise of generative AI, study reveals (2025, August 26)


